James Hiram Frazier - Johnson County - 1904
Courtesy Nita (Murray) Lewis, 9/6/2007
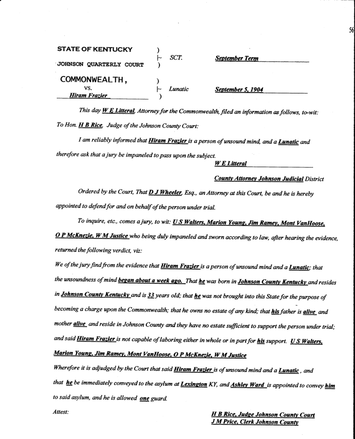
My great grandfather James Hiram Frazier was committed to the Lexington, KY asylum on Sep 5, 1904 from the Johnson Co., KY Court. (See Attached documentation)
Family tradition states Hiram was a trader (he would trade anything and everything). He traded for wildhorses and was in the process of breaking them when one threw him off and he landed on his head. He was never the same after the fall. Shortly after the fall he became violent and attempted to kill his family. This was when he was comitted to the Lexington KY asylum on 5 Sep 1904.
He resided at the facility for a short time and became better and was sent home. Shortly after arriving home, two of his daughters Flora and Dolly died. The death of his daughters was more than he could handle and he was sent back to the hospital, where he died. The daughters died 1905 and 1906 respectiviely. He is believed to have died around 1910, but we have no records of his death. I can only find one record of his admittance into the facility, but family tradition states he was admitted twice.
James Hiram Frazier was born Dec 1872 in Johnson Co., KY and died around 1910 at the Lexington, KY instituation. I do not know the exact date nor the place of burial. My grandfather was very young and could only remember his father not being home. I do know he died before 21 Sep 1912 because Martha remarried on this date and was listed as a widow.
He married Martha Jane Crace, on 21 Mar 1893 in Johnson Co., KY
His parents were William J. and Zelphia Lemaster Frazier.
